中咨視界
史昭娣 朱寧 陳琦 | 基于分解協調的風光儲聯合規劃分層優化方法
| |||||
| |||||
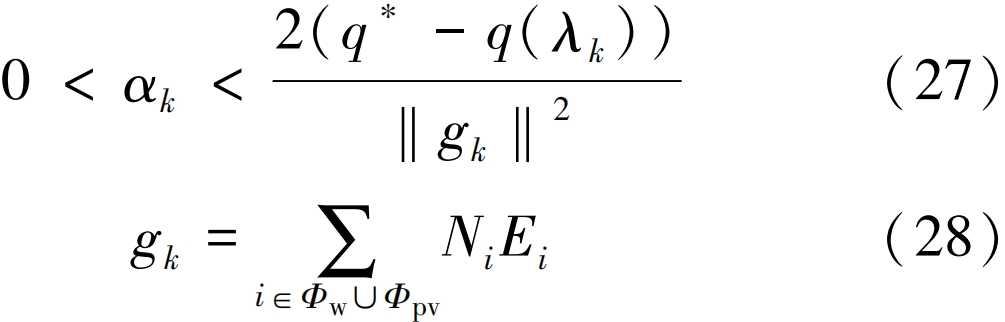
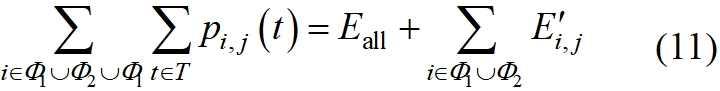
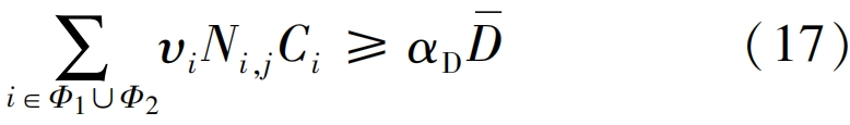
基于分解協調的 風光儲聯合規劃分層優化方法 史昭娣 朱寧 陳琦 摘 要:風光儲聯合規劃可以充分考慮新能源資源特性,所得規劃結果在全局角度更科學。文中計及中長期時序電力平衡進行風光儲聯合規劃,規劃結果更為合理可靠。多區域風光儲聯合規劃問題本質上是一個廣域多電源、多變量、多時間斷面的高維復雜隨機規劃問題,求解非常耗時,甚至由于維數災難無法求解?;诖?,文中建立多區域風光儲聯合規劃模型,并提出基于區域分解協調的分層優化算法,將多區域風光儲聯合規劃模型分解為兩層問題,其中下層問題確定各子區域內電源和儲能的配置容量;上層問題根據下層問題給定的容量規劃方案,確定各子區域電源運行情況。兩層問題相互迭代,協調得到各區域風光儲最優容量。最后,算例分析驗證了所提模型和方法的合理性及有效性。 關鍵詞:新能源;儲能;電源規劃;拉格朗日松弛;分解協調;容量配置 近年來,我國風電[1]、光伏[2]等新能源裝機和發電量均實現快速增長[3-4],大規模新能源接入電網增加了系統應對新能源出力變化的靈活性需求,配置儲能是提升新能源電力系統靈活性的重要措施之一。新能源與儲能規劃可在源頭上維持電力系統供需平衡,為保障系統安全可靠運行提供基礎。新能源規劃和儲能配置都需要計及系統時序特性。進行新能源和儲能聯合優化規劃有利于充分考慮新能源的出力特性,規劃結果更為合理可靠[5]。 針對新能源與儲能聯合規劃問題,已有學者進行了相關研究。文獻[6]基于碳減排目標建立了新能源和儲能規劃模型;文獻[7]基于新能源多階段規劃模型得到不同新能源配額場景下的儲能規劃方案;文獻[8-10]提出一種考慮新能源出力不確定性的風光儲微電網儲能容量聯合優化方法;文獻[11-12]基于典型日方法建立了微電網風光儲雙層規劃模型;文獻[13]提出源-荷匹配的風光儲容量配比優化方法。以上研究表明了進行新能源與儲能聯合規劃是高比例新能源電力系統經濟、可靠發展的重要基礎,但通常都是基于某一區域或系統進行新能源與儲能規劃,對多區域新能源與儲能聯合規劃考慮較少。 新能源與儲能聯合規劃模型為典型的混合整數規劃(mixed integer programming,MIP)模型[14],具有高維數的特點[15-17],這類模型通常難以直接用于大區域復雜電網的中長期規劃研究。因此,亟須從減小源儲聯合規劃MIP模型規模方面來降低模型的求解難度。一些學者采用人工智能算法進行規劃模型的尋優求解。文獻[18]建立基于差異進化算法的新能源規劃模型;文獻[19]提出基于神經網絡算法的新能源電力系統容量優化規劃方法;文獻[20]基于多準則決策分析方法得到不同條件下的風光儲容量配置比例。這些算法在一定程度上取得較好效果,但存在過于依賴初始值和尋優路徑、局部搜索能力弱、在局部極值附近早熟收斂等問題。 新能源與儲能聯合規劃通常將MIP模型轉換為混合整數線性規劃(mixed integer linear programming,MILP)模型以便于求解。針對MILP模型,現階段多采用分支定界法[21]或割平面法[22]求解,然而這些方法仍需要較長計算時間[23]。分解協調技術[24]被廣泛用于提高MIP問題的求解速度,基于拉格朗日松弛的分解法[25]是一種目前常用的分解協調技術,適用于目標函數中包含多決策變量的優化問題求解。 基于以上分析,文中對多區域風光儲聯合優化規劃問題進行研究。首先,考慮新能源出力隨機性,建立基于中長期時序電力平衡的多區域風光儲聯合規劃模型。其次,提出基于區域分解協調的分層優化方法,將多區域風光儲聯合規劃模型分解為兩層問題,其中下層問題以最小化綜合成本為目標,確定各子區域內電源和儲能的配置容量;上層問題根據下層問題給定的容量規劃方案,求解新能源消納最大化問題,確定各子區域電源運行情況。兩層問題相互迭代,協調得到各區域風光儲最優容量。最后,算例分析驗證了所提模型和方法的合理性及有效性。 一、多區域風光儲聯合優化規劃數學模型 (一)目標函數 電源規劃的主要任務是在滿足負荷需求和各種技術經濟指標條件下確定電源類型和規模,使規劃期內系統能可靠供電且投資經濟合理。因此電源規劃方案應滿足安全性和經濟性要求。此外,為提高新能源利用率,還須考慮新能源消納。因此,文中考慮經濟性最優為目標,在約束中計及可靠性和新能源消納約束。 由于電源規劃一般涉及多類電源工程項目,其各自的使用壽命和投產年限通常不同,通常采用等年值法處理這種問題。風光儲聯合優化規劃模型考慮系統經濟性最優,目標函數為系統綜合成本最小。計及新能源出力場景及概率,目標函數具體為: 式中:為隨機場景期望結果;為新能源出力隨機場景集合;為場景的概率;為綜合成本,包含投資費用等年值、年固定運行費用、年可變運行費用。 式中:下標n為區域; (二) 約束條件 不同于傳統規劃僅計及電量平衡或典型日電力平衡,文中在風光儲聯合規劃時計及年度時序電力平衡,可保證規劃結果的可靠性。 1.時序電力平衡約束 式中: 本節建立可調整負荷數學模型,其主要思想是:在一定周期內,一部分負荷用電功率可進行上、下調節,且控制周期內負荷總用電量不變。其具體形式分別如下: 式中: 2.電量平衡約束 3.聯絡線功率約束。 4.電源約束 新能源出力約束具體形式為: 式中: 式中: 分別為機組最小啟/停機時間。h為啟/停機時間間隔。儲能電池約束為: 式中: 5.備用約束 6.新能源電量占比約束 此外,新能源棄電量約束是指導儲能配置的重要因素之一,其約束形式為: 二、基于區域分解協調的規劃模型分層優化方法 多區域風光儲聯合優化規劃模型是一個多分區、多電源、多變量的高維數復雜規劃問題,求解非常耗時甚至無解,需要采用合適的方法進行處理。區域分解法是計算機領域的一種并行算法,其本質是將問題的計算域分解為若干子域分別求解再進行綜合的一種數值計算方法。該方法便于在各子域中運用適應其特點的模型和參數,使總體解更符合實際,并有利于采用并行算法,加快運算速度。文中基于區域分解思想,提出基于區域分解協調的風光儲聯合規劃模型分層優化方法。 基于電力系統主要的受限斷面(主變、單條輸電線或多條輸電線組成的廣義傳輸線)對大規模系統進行區域劃分,將其分為 拉格朗日松弛法已在求解多電源機組組合以及聯合規劃方面得到廣泛應用,文中擬采用基于拉格朗日松弛的分解法來求解多區域風光儲聯合優化規劃模型。 (一)基于拉格朗日松弛的分解法 基于拉格朗日對偶松弛的分解協調過程[26]如下。 1.將原大規模復雜優化問題 式中: 2.依據拉格朗日對偶松弛理論,引入松弛向量乘子 3.將原問題目標函數 4.分別構造對偶函數 5.對拉格朗日乘子 6.選取合適迭代方法和步長對拉格朗日乘子進行迭代。 7.計算拉格朗日松弛對偶間隙,判斷對偶間隙是否滿足收斂條件,若滿足,則完成計算;若不滿足,則繼續進行迭代計算直至滿足收斂條件。 (二)基于分解協調的分層優化方法 通過分析所構建的多區域風光儲聯合優化規劃模型結構,發現所提模型是一個以綜合成本最小為目標的單目標規劃模型,約束條件眾多?;诶窭嗜諏ε妓沙诶碚撍枷耄瑢⑿履茉措娏空急燃s束式(18)松弛至目標函數式(1)中,得到松弛問題目標函數如下: 式(21)為線性公式,可將綜合成本和新能源消納量解耦,因此原多區域風光儲聯合規劃問題可以分為上下兩層問題。下層問題目標為求解各區域風光儲聯合優化規劃模型,確定各區域內電源和儲能的配置容量。上層問題根據下層問題給定的投資決策容量方案,求解包含傳輸線功率交換約束的新能源消納最大化問題,以確定各區域電源運行情況,并將這些運行狀態返回至下層問題中。通過上下兩層問題之間的迭代求解,得到使目標函數最優的電源和儲能投資方案。 下層優化模型為各區域風光儲聯合規劃模型,其目標函數與原問題目標函數相同,為最小化系統綜合成本。約束條件包含式(6)—式(11)、式(13)—式(17)、式(19)。 上層問題為新能源消納最大模型,由式(21)松弛后的上層問題目標函數形式如下: 由于式(22)中第一項為固定值,可以省去該項,原問題即變為最小化新能源電量的負值。為便于理解和符合數學建模的思想,將其轉為最大化新能源電量,因此原最小化問題可轉化為最大化問題.轉化后的上層問題目標函數形式如下: 約束條件包含式(6)—式(17)、式(19)。 拉格朗日松弛后的對偶函數如下: 對偶函數式(24)須滿足原問題所有約束條件。依據拉格朗日對偶松弛理論,得到對偶問題如下: 對于拉格朗日乘子,按照如下方式進行迭代更新: 式中:為迭代次數;、分別為第次迭代的步長和次梯度方向,其選取公式如下。 這里需要注意的是,次梯度選取公式不唯一,這里只給出基于耦合約束的一種常見方式。 對于原規劃問題和對偶問題的一組可行解 根據對偶最優定理,當對偶間隙 基于拉格朗日對偶松弛的分解協調算法具體步驟為: 1.輸入模型所需基礎數據,如測試系統的已有機組數據、待規劃機組數據、新能源歸一化歷史出力序列、負荷序列等規劃數據。 2.根據新能源歸一化歷史出力和待規劃機組成本初值,構建隨機場景集。 3.設置拉格朗日迭代次數初始值為0,根據工程需求設置合適的拉格朗日乘子初值和求解間隙。 4.選擇一組場景,求解下層各分區優化問題,判斷下層問題是否有解,若無解提示該問題不可求解,調整邊界條件重新計算;反之,得到子區域風光儲優化容量。 5.將(4)中下層問題求解得到的風光儲投資決策傳入上層問題作為優化邊界,求解上層問題,得到各分區各電源出力和拉格朗日乘子。 6.將(5)中所得風光儲投資決策和拉格朗日乘子帶入原問題和對偶問題中分別計算求解。 7.判斷原問題和對偶問題的差距是否達到了求解間隙,若是則停止求解,迭代結束,輸出該問題的目標函數和各決策變量值;反之更新拉格朗日乘子,繼續迭代。 8.判斷是否遍歷隨機場景集,若是則輸出最優解;反之繼續計算其余場景集結果,直至得到最終結果。 應用于文中所提模型的拉格朗日分解協調算法流程如圖1所示。 圖1 基于拉格朗日對偶松弛的規劃模型求解流程 三、算例分析 (一)算例介紹 為驗證所提多區域風光儲聯合優化規劃模型以及基于區域分解協調的分層優化方法的合理性及有效性,以我國某省級電網為測試系統進行分析,研究2030年的風光儲優化規劃問題。電網聚合結構示意如圖2所示,分為電網1-5共5個區域,該省級電網通過區域電網1與外省電網G和電網N相連,電網中電源類型主要包括火電、水電、風電和光伏。火電機組煤耗、標煤價格、排放系數參見文獻[27-31]。 圖2 某省級電網等效聚合結構示意 規劃期內待選電源為風電和光伏,待選儲能裝置為儲能電池。新能源年限電率上限設為10%,可調節負荷限值為年最大負荷的5%,負荷電量調整平衡周期取1d,新能源電量占比設為45%。分解協調算法迭代總次數設為50次,拉格朗日乘子初值設為0,求解間隙設為10-4。 (二)算例分析 1. 規劃結果分析 (1) 不同求解方法所得結果分析。為了驗證所提基于區域分解協調的分層優化方法的性能,設置了對比方法對同一規劃模型進行求解,并對2種求解方法所得風光儲聯合規劃結果進行分析。 對比方法:集中求解方法,即直接采用求解器求解第1章所提規劃模型,不考慮分解協調技術。 文中方法:分層優化方法,即采用基于區域分解協調的分層優化方法。 2種方法計算結果如表1所示,文中方法的MILP規模為最大下層問題的規模,計算時間為所有場景平均計算時間。具體各區域電源和儲能規劃容量如圖3所示。 由表1和圖3可以看出,文中所提求解方法與單層求解方法所得規劃結果幾乎一致,所有結果相對誤差均小于0.5%,證明了所提求解方法的正確性。2種方法所得結果差異突出表現在計算效率方面,基于文中提出的規劃模型及求解方法,平均每個場景在3 h之內可得出該省級電網電源規劃方案,較對比方法的計算時間減少70.61%,大幅提高了求解效率,這主要是因為問題的求解規模不同。從表1中可看出文中方法MILP問題節點、行、列數相比對比方法分別減少72.10%、38.41%和0.30%,求解2個MILP問題時分別迭代了17259次和3311次,表明文中方法可有效降低規劃問題維數,減少MILP求解時的迭代次數。 總的來說,針對前述算例測試系統,文中所提基于區域分解協調的分層優化方法可以在較短時間內得到較為精確的風光儲能規劃方案,在大規模復雜系統的優化求解中具有明顯提升計算效率的優勢。 表1 不同規劃方法規劃結果對比 圖3 不同方法下各區域電源和儲能規劃容量 (2) 所提求解方法的收斂性分析。在求解優化問題時,判斷一個求解方法能否得到最優解的依據之一是其計算結果可收斂。為了驗證文中所采用的基于區域分解協調的求解算法可以收斂到全局最優解,對分解協調算法求解模型時的收斂過程進行分析,圖4為迭代過程中規劃結果收斂曲線。 圖4 規劃結果收斂過程曲線 由圖4可以看出,在迭代過程中,風電總容量和儲能總容量略有增加,光伏總容量有所下降。這主要是由于系統為滿足負荷需求,投建新能源時傾向于選擇資源更優的風電(利用小時數更高)。而隨著新能源容量的增加,新能源棄電增加,系統須提供更多的靈活性來應對新能源大量接入帶來的不利影響,因此儲能電池容量也呈增長趨勢。當拉格朗日迭代次數為14次時,風光儲容量達到收斂標準。新能源消納電量隨著迭代次數的增加呈上升趨勢,其收斂趨勢與風儲容量的收斂趨勢相吻合。系統總成本整體呈下降趨勢,表明所有子區域主體以目標成本數值最小為演變方向,但也會出現部分主體目標成本數值增大的情況,這是主體與主體之間存在競爭關系所導致。 總之,基于文中所提模型,系統目標函數能夠收斂,新能源裝機容量也能達到收斂標準,因此,所提算法可以在一定的誤差要求和有限的迭代次數內收斂到全局最優解,滿足工程實際的需求。 (3) 不同場景所得結果分析。為驗證文中所提多區域風光儲聯合規劃模型的合理性,設置對比場景進行比較分析,對比場景中不考慮區域間聯絡線斷面約束。2個案例的規劃結果見表2,對比場景的各區域電源和儲能規劃容量如圖5所示,文中場景的各區域規劃結果如圖3(b)所示。 表2 不同場景所得規劃結果 從表2中可以看出,不考慮聯絡線斷面約束時,風電容量為光伏容量的1.2倍。而在文中場景中,各子區域在新能源消納最大的主問題框架下保證子區域的電力電量平衡,風電容量增加了6750MW,光伏容量減少了7500MW,儲能電池功率增加了400MW,風電容量為光伏容量的2.02倍。從經濟性方面看,文中場景綜合成本增加了2.53%;從棄電率方面看,文中場景所得新能源棄電率為5.86%,而對比場景棄電率僅為1.26%。 圖5 對比場景的規劃結果 (4) 隨機因素對規劃結果的影響。新能源隨機出力對風光儲聯合規劃結果具有重要影響,須在規劃模型中加以考慮。本節分別以60組隨機場景為輸入求解規劃模型,得到各組序列下的風光儲最優容量以及綜合成本,如圖6所示。圖中藍色柱狀圖表示60組隨機場景下所得結果的概率分布;紅色曲線表示概率分布的擬合結果,用來表示概率分布的形狀。可以看出,所有場景下風電裝機容量、光伏裝機容量、儲能電池功率容量以及系統綜合成本的收斂結果分別為38750MW、19 200MW、3650MW以及4501.52億元,所有場景的計算結果均服從正態分布。文中所提模型可以應對新能源隨機出力,適用于不同隨機場景下的源儲規劃分析。 圖6 多組新能源隨機場景的規劃結果 2.新能源允許棄電率對規劃結果的影響分析 新能源棄電率約束是新能源與儲能規劃的一個重要約束條件,本節分析新能源允許棄電率對風光儲聯合規劃模型的影響。假定系統新能源電量占比為45%,不同新能源允許棄電率下的規劃結果如圖7所示。 圖7 新能源允許棄電率對規劃結果的影響 由圖7可以看出,隨著系統新能源允許棄電率的增加,風、光容量整體呈先上升后趨于平緩的趨勢,儲能電池容量呈下降趨勢。這主要是由于在新能源電量占比恒定的條件下,系統新能源配置容量會維持在一定水平。在棄電率較小尤其是為0時,系統需要足額消納新能源電量,此時新能源容量較小,且需要大量儲能電池提供靈活性支撐;而隨著允許棄電率的增加,新能源容量呈小幅上升趨勢,從圖7中可以看出,風電總裝機在棄電率達到6%后趨于穩定值40000MW,光伏總裝機在棄電率達到3%后趨于穩定值20000MW。綜合成本隨著允許棄電率的增加呈先下降后趨于平穩的趨勢。在允許棄電率為0時,由于系統須全額消納新能源電量,靈活性需求很高,導致常規電源出力較高,系統運行成本和碳排放成本較高,因此系統綜合成本較高。隨著允許棄電率的增加,系統靈活性需求降低,此時雖然系統投資成本小幅增高,但系統運行成本和碳排放成本降低,綜合成本呈降低趨勢。當允許棄電率達到6%時,綜合成本趨于穩定值4500億元。 四、結論 風光儲聯合規劃是促進新能源消納的重要措施之一,針對多區域風光儲聯合優化規劃及求解問題,文中建立多區域風光儲聯合規劃模型,并提出基于區域分解協調的分層優化方法。主要結論如下: (一) 建立基于中長期時序電力平衡的多區域風光儲聯合優化規劃模型,模型考慮經濟性最優,并計及新能源出力長時間尺度特性和隨機性。在模型中進一步約束火電機組狀態變量以縮減變量規模,可降低規劃問題維數。 (二) 提出基于區域分解協調的分層優化方法,將風光儲聯合規劃模型分解為上下兩層問題并進行迭代協調,得到風光儲最優規劃方案。 (三) 相比集中式求解方法,文中所提方法可大幅縮短計算時間,在大規模復雜系統的優化計算中具有明顯提升計算效率的優勢。 參考文獻 [1]國家能源局.2019年風電并網運行情況[Z].2020. [2]劉穎,唐夏菲,蔡曄,等.考慮省間交易與源荷互動協調的新能源消納機制[J].電力系統及其自動化學報,2022,34(2):16-22. [3]國家能源局.2019年光伏發電并網運行情況[Z].2020. [4]水電水利規劃設計總院.中國可再生能源發展報告 2019[R].2020. [5]程浩忠.電力系 統 規 劃 [M]. 2版.北京:中國電力出版社,2014. [6]PALMINTIER B S , WEBSTER M D . Impact of operational flexi-bility on electricity generation planning with renewable and car-bon targets [J].IEEE Transactions on Sustainable Energy , 2016 , 7(2):672-684. [7]ABDINA F , ZIO E . An integrated framework for opera-tional fle-xibility assessment in multi-period power system planning with renewable energy production [J] . Applied Energy , 2018 , 222: 898-914. [8]謝鵬,蔡澤祥,劉平,等.考慮多時間尺度不確定性耦合影響的風光儲微電網系統儲能容量協同優化[J].中國電機工程學報,2019,39(24):7126-7136,7486. [9]孔飄紅,蔣正威,楊力強,等.基于風氫耦合的氫儲能系統參與電力市場機制與風險量化模型設計[J].供用電,2022,39 (1):31 -39. [10]李潔,孫宏宇,許椿凱,等.參與新型電力系統需求響應的分布式儲能資源管理與策略研究[J].供用電,2022,39(2):29-35. [11]郭力,楊書強,劉一欣,等.風光儲微電網容量規劃中的典型日選取方法[J].中國電機工程學報,2020,40(8):2468-2479. [12]姜愛華,錢朝飛,黃銀燕,等.計及含氫多儲能與電價型需 求響應的能量樞紐日前經濟調度 [J].供用電,2022,39(3):82-91. [13]李湃,方保民,祁太元,等.基于源-荷匹配的區域電網風光儲容量配比優化方法[J].中國電力,2022,55 (1):46-54. [14]隨權,林湘寧,童寧,等.基于改進兩階段魯棒優化的主動配電網經濟調度[J].中國電機工程學報,2020,40(7):2166-2179,2396. [15]劉天琪,曾紅,何川,等.考慮電轉氣設備和風電場協同擴建的氣電互聯綜合能源系統規劃[J].電力自動化設備,2019,39(8):144-151. [16]黃彥彰,周宇昊,鄭文廣,等.產業園區新型多能聯供綜合能源服務研究[J].發電技術,2021,42(6):734-740. [17]高篧楠,陳海峰,王建永.一種新型CO2工質冷熱電聯供系統的熱力性分析[J].發電技術,2022,43(1):131-138. [18]KOLTSAKLIS N E , GEORGIADIS M C . A multi-period , multi-regional generation expansion planning model incorporating unit commitment constraints[J].Applied Energy , 2015 , 158: 310-331 . [19]SAFARI M , SARVI M. Optimal load sharing strategy for a wind/diesel/battery hybrid power system based on imperialist com- petitive neural network algorithm [J] . IET Renewable Power Generation , 2014 , 8(8):937-946. [20]ALSAYED M , CACCIATO M , SCARCELLA G , et al. Multicriteria optimal sizing of photovoltai cwind turbine grid connected systems [J] . IEEE Transactions on Energy Conversion , 2013 , 28(2):370-379. [21]王健,程春田,申建建,等,水電站群優化調度非線性全局優化方法[J].中國電機工程學報,2018,8 (17):5107-5117 ,5307 . [22]LU M L , QIAO L B , FENG D W , et al. Mini-batch cutting plane method for regularized risk minimization [J] . Frontiers of Information Technology & Electronic Engineering , 2019 , 20 (11):1551 - 1563 . [23]崔全勝,白曉民,董偉杰,等.用戶側綜合能源系統規劃運行聯合優化[J].中國電機工程學,2019,39(17):4967- 4981,5279. [24]張玲,陳思捷,嚴正,等.基于區塊鏈共識機制的多區域最優潮流分布式算法[J].中國電機工程學報,2020,40(20):6433 -6442. [25]WU X , LIANG K X , HAN X A. Renewable energy output tracking control algorithm based on the temperature control load statequeuing model[J] . Applied Sciences , 2018 , 8(7):1099 . [26]羅天,汪可友,李國杰,等.基于拉格朗日對偶松弛的多區域柔性直流互聯電網無功優化[J].電力系統自動化,2019,43(11):68-76. [27]朱法華,王玉山,徐振,等.中國電力行業碳達峰、碳中和的發展路徑研究[J].電力科技與環保,2021,37(3):9-16. [28]王皓,艾芊,甘霖,等.基于多場景隨機規劃和MPC的冷熱電聯合系統協同優化[J].電力系統自動化,2018,42(13):51-58 . [29]楊曉輝,張柳芳,吳龍杰,等.含考慮 IDR 的冷熱電聯供微網的主動配電網經濟優化調度[J].電力系統保護與控制,2022,50(3):19-28 . [30]吳引航,陽婷,戴曉娟,等.含大規模水電的電力現貨市場出清及價格機制研究[J].浙江電力,2021,40(12):54-60. [31]李堅,吳亮紅,張紅強,等.基于排序交叉優化算法的冷熱電聯供微電網經濟調度[J].電力系統保護與控制,2021, 49(18):137 145. 注:本文主要內容發表在《電力工程技術》2023年第6期,原作者:史昭娣、朱寧、李政(清華大學能源與動力工程系教授)、陳琦。本次發表有改動。 | |||||
相關鏈接
- 劉義成 | 突出主業 規范合作 ...2023-11-28
- 張英健 木其堅 | 響應市場訴求...2023-11-24
- 吳立恒 | 水電移民安置規劃信息...2023-11-23
- 鄒昊飛 張建紅 等 | “電—碳...2023-11-20
- 朱黎陽 | 堅持試點先行 強化重...2023-11-16
















